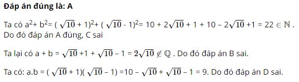
Toán 1016 Bài tập Mệnh đề (có đáp án) – Kết nối tri thức Trắc nghiệm Toán 10 Đăng vào 22/03/202422/03/2024 bởi khtn 16 Bài tập Mệnh đề (có đáp án) - Kết nối tri thức Trắc nghiệm Toán 10 Với 16 bài tập trắc nghiệm Mệnh đề Toán lớp 10 có đáp án và lời giải chi tiết đầy đủ các mức độ sách Kết nối tri thức sẽ giúp học sinh ôn luyện trắc nghiệm để biết cách làm các dạng bài tập Toán 10. 1 / 17 Câu 1. Trong các câu sau, câu nào là mệnh đề? A. Đi ngủ đi! B. Trung Quốc là nước đông dân nhất thế giới. C. Bạn học trường nào? D. Không được làm việc riêng trong giờ học. Đáp án đúng là: B Chỉ có câu “Trung Quốc là nước đông dân nhất thế giới” có thể xác định được tính đúng sai nên đáp án B là mệnh đề. 2 / 17 Câu 2. Trong các câu sau, câu nào không phải là mệnh đề? A. Buồn ngủ quá!; B. Hình thoi có hai đường chéo vuông góc với nhau; C. 8 là số chính phương; D. Băng Cốc là thủ đô của Mianma. Đáp án A là câu cảm thán không xác định được tính đúng sai. Do đó không phải là mệnh đề. 3 / 17 Câu 3. Trong các câu sau, có bao nhiêu câu là mệnh đề? a) Hãy đi nhanh lên! b) Hà Nội là thủ đô của Việt Nam. c) 4 + 5 + 7 = 15. d) Năm 2018 là năm nhuận. A.4 B.3 C.1 D. 2 Câu a) là câu cảm thán không xác định được tính đúng, sai nên câu a không phải là mệnh đề. Các câu b), c), d) đều có thể xác định được tính đúng sai. Do đó các câu b), c), d) đều là mệnh đề. Vậy có tất cả 3 mệnh đề. 4 / 17 Câu 4.Câu nào sau đây không là mệnh đề? A. x > 2; B.3 < 1; C.4 – 5 = 1; D. Tam giác đều là tam giác có ba cạnh bằng nhau. A. B. C. D. Vì x > 2 là mệnh đề chứa biến không xác định được tính đúng sai nên không phải mệnh đề. 5 / 17 Câu 5. Trong các mệnh đề sau, mệnh đề nào là mệnh đề đúng? A.Tổng của hai số tự nhiên là một số chẵn khi và chỉ khi cả hai số đều là số chẵn B.Tích của hai số tự nhiên là một số chẵn khi và chỉ khi cả hai số đều là số chẵn C.Tổng của hai số tự nhiên là một số lẻ khi và chỉ khi cả hai số đều là số lẻ D.Tích của hai số tự nhiên là một số lẻ khi và chỉ khi cả hai số đều là số lẻ A là mệnh đề sai: Ví dụ: 5 + 3 = 8 là số chẵn nhưng 5, 3 là số lẻ. B là mệnh đề sai: Ví dụ: 2.3 = 6 là số chẵn nhưng 3 là số lẻ. C là mệnh đề sai: Ví dụ: 1 + 3 = 4 là số chẵn nhưng 1, 3 là số lẻ. 6 / 17 A B C D 7 / 17 A B C D 8 / 17 A B C D 9 / 17 A B C D 10 / 17 A B C D 11 / 17 A B C D 12 / 17 A B C D 13 / 17 A B C D 14 / 17 A B C D 15 / 17 A B C D 16 / 17 A B C D 17 / 17 A B C D Your score isThe average score is 74% 0% LÀM LẠI Singapore – Hệ thống Giáo dục tiên tiến và Đa dạng 10 Kỹ Năng Mềm Cần Thiết Cho Học Sinh Phổ Thông: Xây Dựng Nền Tảng Cho Tương Lai